Discrepancia taxonómica y riqueza de corales zooxantelados del Pacífico oriental durante el Cenozoico

Autores/as

  • Héctor Reyes-Bonilla
  • Ramón Andrés López-Pérez
  • Alonso Mohedano

DOI:

https://doi.org/10.22201/ib.20078706e.2012.4.1018

Palabras clave:

Scleractinia, Extinción, Arrecifes de coral, Diversidad biológica, Fósil, Cenozoico

Resumen

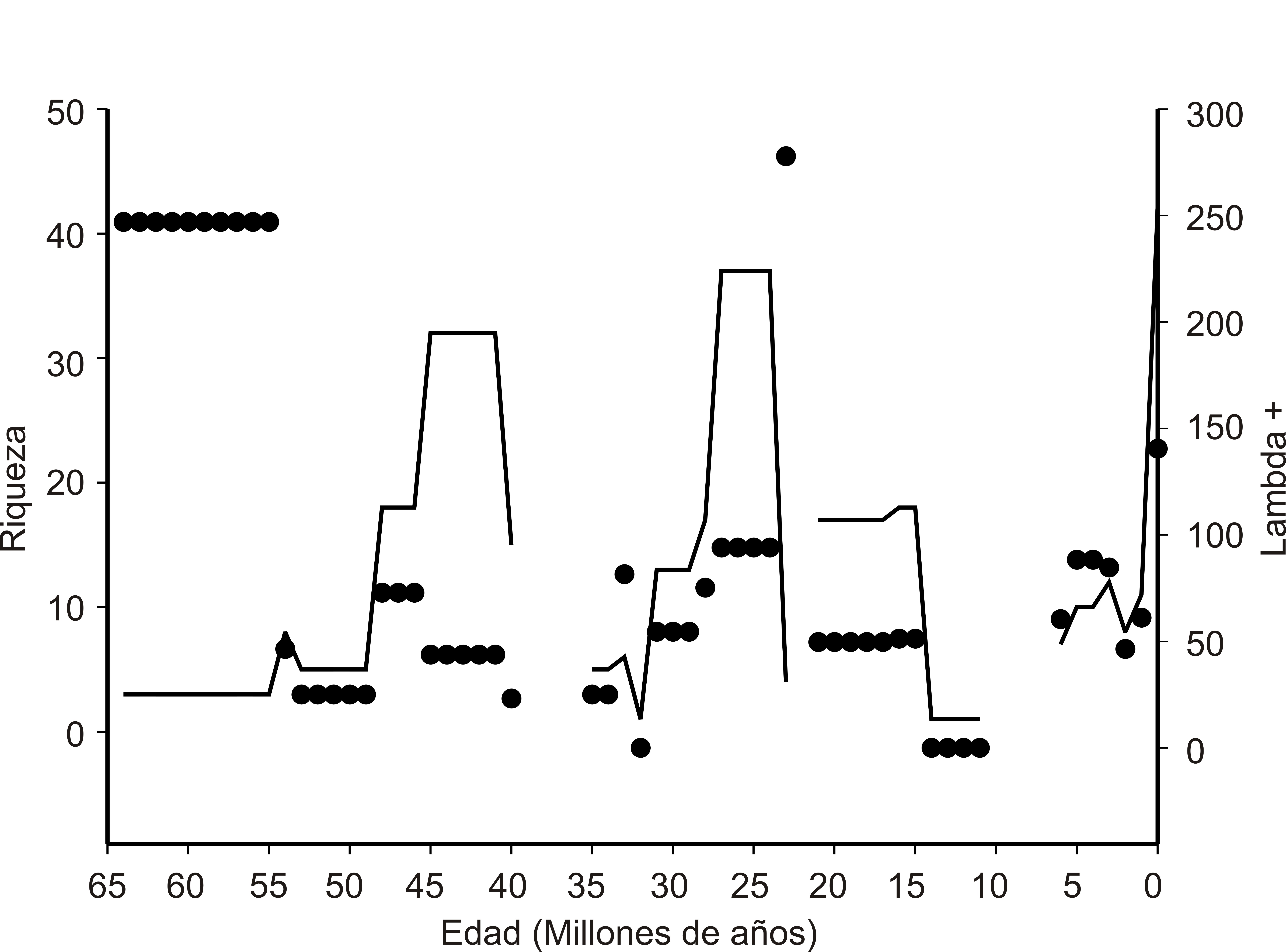
La fauna de corales zooxantelados del Pacífico oriental ha sufrido cambios debido a extinciones, especiación e inmigración desde varias provincias zoogeográficas. Aquí analizamos los cambios en la riqueza y en la discrepancia taxonómica y su varianza (Δ+ y Λ+, indicadores de la biodiversidad que cuantifican la longitud del árbol taxonómico), para los corales del oeste de las Américas durante el Cenozoico, a partir de un análisis de la ocurrencia temporal de 148 especies, en intervalos de un millón de años. La discrepancia taxonómica fue muy estable durante el Cenozoico (alrededor de 44-50 unidades), mientras que la riqueza fluctuó de 42 especies en el Eoceno, hasta 3 en el Mioceno; esto indica que Δ+ no fue afectado por las oscilaciones en el número de especies. Por otro lado, la riqueza y la varianza de la discrepancia taxonómica se comportan de manera inversa, dado que en intervalos temporales con alto número de especies, estas pertenecieron a grupos taxonómicamente afines. Finalmente, la comparación de Δ+ y Λ+ indicó que los índices se asocian negativamente. Así, es posible que exista alta redundancia ecológica y menor tolerancia a cambios ambientales cuando la discrepancia taxonómica es mayor, dado que las especies están arregladas en un reducido número de géneros o familias.

Descargas

Publicado

2012-12-12

Cómo citar

Reyes-Bonilla, H., López-Pérez, R. A., & Mohedano, A. (2012). Discrepancia taxonómica y riqueza de corales zooxantelados del Pacífico oriental durante el Cenozoico. Revista Mexicana De Biodiversidad, 83(4). https://doi.org/10.22201/ib.20078706e.2012.4.1018

Número

Sección

TAXONOMÍA Y SISTEMÁTICA